OpenGeoSys
Releases Docs Publications Discourse Source Code
OpenGeoSys
Releases Docs Publications Discourse Source Code
User Guide
Developer Guide
Tutorials
Benchmarks
Tools & Workflows
Feature Matrix
Process information
DigBen & EURAD Model Hub

  • HEAT TRANSPORT BHE
  • HEATCONDUCTION
  • HYDRO MECHANICS
  • HYDRO-COMPONENT
  • HYDRO-THERMAL
  • LARGE DEFORMATIONS
  • LIQUID FLOW
  • PHASE-FIELD
  • PYTHON BOUNDARY CONDITIONS
  • REACTIVE TRANSPORT
  • RICHARDS FLOW
  • RICHARDS MECHANICS
  • SMALL DEFORMATIONS
  • Solving Kirsch’s problem using the release nodal force approach: run with MPI parallel computing
  • Solving Kirsch’s problem using the release nodal force approach
  • A 2D GREAT cell benchmark suite simulated using small deformation and LIE mechanical processes
  • Evaluating the B-bar method with simple examples
  • Cook’s membrane example
  • Small deformations: Verification examples by Vogel,Maßmann
  • Linear; Element deactivation
  • Linear; Disc with hole
  • Linear; Non-equilibrium initial states
  • Lubby2; Creep example
  • Creep analysis with a heterogeneous reference temperature
  • Strength reduction for slope stability
  • Ehlers; Single-surface yield function
  • Slope stabilized by anchors
  • Linear; Single fracture
  • Ehlers; special case - Drucker-Prager
  • Pressure boundary conditions
  • Power Law Linear Creep
  • Linear elasticity: disc with hole convergence study
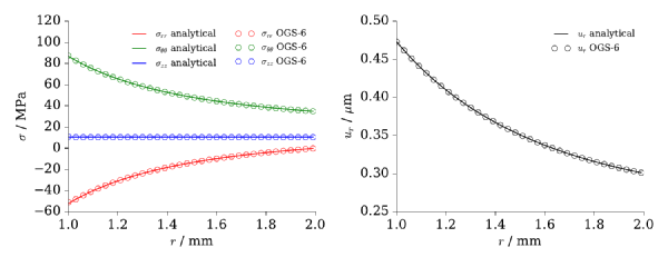
  • Linear elasticity: disc with hole
  • SimpleMechanics
  • Modified Cam clay model
  • STEADY STATE DIFFUSION
  • TH2M
  • THERMAL-TWO-PHASE FLOW
  • THERMO-HYDRO-MECHANICS
  • THERMO-MECHANICS
  • THERMO-RICHARDS-MECHANICS
  • TWO-PHASE FLOW

  1. Docs
  2. Processes
  3. Small Deformations

Small Deformations

  • Solving Kirsch's problem using the release nodal force approach: run with MPI parallel computing

  • Solving Kirsch's problem using the release nodal force approach

  • A 2D GREAT cell benchmark suite simulated using small deformation and LIE mechanical processes

  • Evaluating the B-bar method with simple examples

  • Cook's membrane example

  • Small deformations: Verification examples by Vogel,Maßmann

  • Linear; Element deactivation

  • Linear; Disc with hole

  • Linear; Non-equilibrium initial states

  • Lubby2; Creep example

  • Creep analysis with a heterogeneous reference temperature

  • Strength reduction for slope stability

  • Ehlers; Single-surface yield function

  • Slope stabilized by anchors

  • Linear; Single fracture

  • Ehlers; special case - Drucker-Prager

  • Pressure boundary conditions

  • Power Law Linear Creep

  • Linear elasticity: disc with hole convergence study

  • Linear elasticity: disc with hole

  • SimpleMechanics

  • Modified Cam clay model

© 2026 OpenGeoSys Community, Privacy policy / Legal statements / Impressum

Creative Commons License Deploys by Netlify

Search