A 2D GREAT cell experiment benchmark simulated using the LIE and the B-bar methods

This page is based on a Jupyter notebook.

A 2D GREAT cell experiment benchmark simulated using the LIE and the B-bar methods

This benchmark is based on the SAFENET task of the DECOVALEX 2027 project, which aims to better understand fracture nucleation and evolution processes in crystalline rocks with applications in nuclear waste management and geothermal reservoir engineering, and it simulates a 2D ideal model of the GREAT Cell experiment [1][2].

More details regarding boundary condition and order of PEEs can be found in the GREAT Cell experiment description.

The load conditions or the pressure applied on the segment PEEs are given in the table below:

Marker PEE1 Angle to $\sigma_2$ PEE1 & 1a PEE2 & 2a PEE3 & 3a PEE4 & 4a PEE5 & 5a PEE6 & 6a PEE7 & 7a PEE8 & 8a
F 67.5° 3.82 7.80 9.95 10.0 6.64 4.46 1.17 1.0

The load condition of each DSS is the average of the values of its two PEE neighbours. Rigid movement is avoided by fixing the displacement at the bottom point.

An existing fracture is assumed along the $x$ axis.

The material properties of the sample are given in the following table:

Greywacke Properties

Parameter Value Unit
Young’s modulus 26.87e9 Pa
Poisson’s ratio 0.27
Biot coefficient 0.8
Porosity 0.005
Permeability 2.58e-19
Solid density 2650 kg/m³
Normal stiffness 100e9 Pa/m
Tangential stiffness 50e9 Pa/m
Fluid compressibility (c_f) 4.4e-10 Pa⁻¹
Solid bulk modulus (k_s) 1.95e10 Pa
Initial fracture width (w_init) 1e-6 m

Fluid Properties

Parameter Value Unit
Density 1000.0 kg/m³
Viscosity 1e-3 Pa·s
Injection flow rate 4.167e-7 m³/s
Outlet pressure 3.45e6 Pa

Rubber Sheath Properties

Parameter Value Unit
Young’s modulus 0.1e9 Pa
Poisson’s ratio 0.4
Porosity 0.001
Permeability 1e-17
Density 1500 kg/m³
Biot coefficient 0.0

The initial stresses in in the fracture are $\sigma_{nn}=0$ MPa and $\sigma_{tt}=-2$ MPa.

This benchmark uses the LIE and the B-bar methods.

Reference

  1. McDermott, C.I., Fraser-Harris, A., Sauter, M., Couples, G.D., Edlmann, K., Kolditz, O., Lightbody, A., Somerville, J. and Wang, W., 2018. New experimental equipment recreating geo-reservoir conditions in large, fractured, porous samples to investigate coupled thermal, hydraulic and polyaxial stress processes. Scientific reports, 8(1), p.14549.

  2. Mollaali, M., Kolditz, O., Hu, M., Park, C.H., Park, J.W., McDermott, C.I., Chittenden, N., Bond, A., Yoon, J.S., Zhou, J. and Pan, P.Z., Liu H., Hou W., Lei H., Zhang L., Nagel T., Barsch M., Wang W., Nguyen S., Kwon S. and Yoshioka K., 2023. Comparative verification of hydro-mechanical fracture behavior: Task G of international research project DECOVALEX–2023. International Journal of Rock Mechanics and Mining Sciences, 170, p.105530.

import os(click to toggle)
import os
from pathlib import Path

import matplotlib.pyplot as plt
import numpy as np
import ogstools as ot

ot.plot.setup.show_region_bounds = False

out_dir = Path(os.environ.get("OGS_TESTRUNNER_OUT_DIR", "_out"))
out_dir.mkdir(parents=True, exist_ok=True)

Run the model with and without the B-bar method

project_file = Path("HM2b_LIE_F.prj")(click to toggle)
project_file = Path("HM2b_LIE_F.prj")
mesh_path = Path("mesh_GreatCell_embeddedFracture").resolve()

for b_bar in ["false", "true"]:
    prj = ot.Project(
        input_file=project_file, output_file=Path(out_dir, f"b-bar_{b_bar}.prj")
    )
    prj.replace_text("hm_lie_bbar_" + b_bar, xpath="./time_loop/output/prefix")
    prj.replace_text(b_bar, xpath="./processes/process/use_b_bar")
    prj.write_input()
    prj.run_model(logfile=Path(out_dir, "out.txt"), args=f"-o {out_dir} -m {mesh_path}")
Project file written to output.
Simulation: /var/lib/gitlab-runner/builds/Sbm-BZZt4/1/ogs/build/release-all/Tests/Data/LIE/HydroMechanics/GreatCellWithBBar/great_cell_LIE/b-bar_false.prj
Status: finished successfully.
Execution took 23.36757802963257 s
Project file written to output.
Simulation: /var/lib/gitlab-runner/builds/Sbm-BZZt4/1/ogs/build/release-all/Tests/Data/LIE/HydroMechanics/GreatCellWithBBar/great_cell_LIE/b-bar_true.prj
Status: finished successfully.
Execution took 24.37864637374878 s

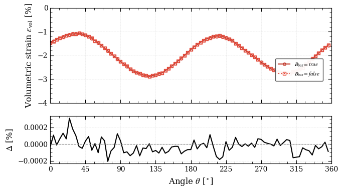
Compare the volume strains obtained with and without the B-bar method

The figure below shows that the B-bar method improves the strain result significantly.

def inner_mesh(filename: str) -> ot.Mesh:(click to toggle)
def inner_mesh(filename: str) -> ot.Mesh:
    "Return submesh inside a radius of 0.065."
    mesh = ot.MeshSeries(Path(out_dir, filename))[-1]
    radii = np.asarray([np.linalg.norm(cell.center) for cell in mesh.cell])
    return ot.Mesh(mesh.extract_cells(radii < 0.065))


plt.rcParams.update(
    {
        "font.family": "serif",
        "font.serif": ["DejaVu Serif"],
        "font.size": 12,
        "axes.labelsize": 12,
        "axes.titlesize": 14,
        "legend.fontsize": 8,
        "xtick.labelsize": 10,
        "ytick.labelsize": 10,
        "lines.linewidth": 1.5,
        "axes.linewidth": 0.8,
        "grid.linewidth": 0.4,
        "savefig.dpi": 600,
        "mathtext.fontset": "stix",
    }
)


def sorted_angles_eps_trace(filename: str) -> tuple[np.ndarray, np.ndarray]:
    edge = inner_mesh(filename).extract_feature_edges()
    eps_trace = ot.variables.strain.trace.transform(edge)
    phi = np.arctan2(edge.points[:, 1], edge.points[:, 0]) * 180 / np.pi
    phi[phi < 0] += 360
    sort_idx = np.argsort(phi)
    return (phi[sort_idx], eps_trace[sort_idx])


fig, (ax, ax_err) = plt.subplots(
    2, 1, figsize=(7.0, 4.0), sharex=True, gridspec_kw={"height_ratios": [2, 1]}
)

series = {}
colors = {"true": "#c0392b", "false": "#e74c3c"}
for b_bar in ["true", "false"]:
    angles, eps_v = sorted_angles_eps_trace(f"hm_lie_bbar_{b_bar}.pvd")
    linestyle = {"false": "dotted", "true": "solid"}[b_bar]
    ax.plot(
        angles,
        np.array(eps_v) * 100,
        linestyle=linestyle,
        label=rf"$B_{{\mathrm{{bar}}}} = {b_bar}$",
        marker="o" if b_bar == "true" else "s",
        markersize=4,
        markerfacecolor="none",
        markeredgewidth=1.0,
        color=colors[b_bar],
    )
    series[b_bar] = (angles, eps_v)


ax.set_ylabel(r"Volumetric strain $\varepsilon_{\mathrm{vol}}$ [%]", labelpad=5)
ax.set_xlim(0, 360)
ax.set_ylim(-4, 0)
ax.set_xticks(np.arange(0, 361, 45))
ax.grid(True, which="major", linestyle=":", linewidth=0.4, alpha=0.7)

ax.legend(
    loc="lower right",
    bbox_to_anchor=(0.98, 0.2),
    frameon=True,
    framealpha=0.95,
    edgecolor="0.3",
    borderpad=0.6,
)

phi_t, y_t = series["true"]
phi_f, y_f = series["false"]
if not np.array_equal(phi_t, phi_f):
    y_f = np.interp(phi_t, phi_f, y_f)
err = y_t - y_f

ax_err.plot(phi_t, err, color="k")
ax_err.axhline(0, linestyle="--", linewidth=0.8, color="gray")
ax_err.set_xlabel(r"Angle $\theta$ [$^\circ$]", labelpad=5)
ax_err.set_ylabel(r"$\Delta$ [%]", labelpad=5)
ax_err.grid(True, which="major", linestyle=":", linewidth=0.4, alpha=0.7)

ax.minorticks_on()
ax.tick_params(which="minor", length=3, width=0.6)
ax.tick_params(which="major", length=5, width=0.8)
ax.tick_params(axis="both", which="both", direction="in", top=True, right=True)

ax_err.minorticks_on()
ax_err.tick_params(which="minor", length=3, width=0.6)
ax_err.tick_params(which="major", length=5, width=0.8)
ax_err.tick_params(axis="both", which="both", direction="in", top=True, right=True)

plt.tight_layout()
plt.savefig("hm_lie_bbar_comparison.pdf", dpi=600, bbox_inches="tight", pad_inches=0.05)
plt.show()
plt.close()

png

Results over the entire domain

def plot_mesh_compare((click to toggle)
def plot_mesh_compare(
    file_true: Path,
    file_false: Path,
    colorbar_opts: dict,
    save_file: Path | None = None,
    domain_limit: float = 0.098,
):
    mesh_true = ot.MeshSeries(file_true)[-1]
    mesh_false = ot.MeshSeries(file_false)[-1]

    has_p_true = "pressure" in mesh_true.point_data
    has_p_false = "pressure" in mesh_false.point_data
    include_pressure = has_p_true and has_p_false

    rows = [
        (
            "$\\mathbf{u}$ [mm]",
            ot.variables.displacement.replace(output_unit="mm"),
            "u",
        ),
        ("$\\mathrm{tr}(\\sigma)$ [MPa]", ot.variables.stress.trace, "stress"),
        ("$\\mathrm{tr}(\\varepsilon)$", ot.variables.strain.trace, "strain"),
    ]
    if include_pressure:
        rows.append(("$p$ [MPa]", ot.variables.pressure, "pressure"))

    nrows = len(rows)
    ncols = 2
    figsize = (10 * ncols, 6 * nrows)
    fig, axs = plt.subplots(
        nrows=nrows, ncols=ncols, figsize=figsize, sharex=True, sharey=True
    )

    if nrows == 1:
        axs = np.array([axs])

    for i, (title, var, key) in enumerate(rows):
        mesh_true.plot_contourf(var, fig, axs[i, 0], **colorbar_opts[key])
        axs[i, 0].set_title(f"{title} (bbar_true)", fontsize=22)

        mesh_false.plot_contourf(var, fig, axs[i, 1], **colorbar_opts[key])
        axs[i, 1].set_title(f"{title} (bbar_false)", fontsize=22)

    for ax in axs.ravel():
        ax.set_aspect("equal")
        ax.tick_params(labelsize=14)
        ax.set_xlim(-domain_limit, domain_limit)
        ax.set_ylim(-domain_limit, domain_limit)

    fig.tight_layout()
    if save_file:
        Path(save_file).parent.mkdir(parents=True, exist_ok=True)
        fig.savefig(save_file, dpi=300, bbox_inches="tight")
    plt.show()
    plt.close(fig)


colorbar_opts = {
    "u": {"vmin": 0, "vmax": 0.25, "cmap": "Greens"},
    "stress": {"vmin": -15, "vmax": 5, "cmap": "coolwarm"},
    "strain": {"vmin": -0.05, "vmax": 0.005, "cmap": "RdBu_r"},
    "pressure": {"vmin": 0.1, "vmax": 10, "cmap": "jet"},
}

plot_mesh_compare(
    file_true=Path(out_dir, "hm_lie_bbar_true.pvd"),
    file_false=Path(out_dir, "hm_lie_bbar_false.pvd"),
    colorbar_opts=colorbar_opts,
    save_file=Path(out_dir, "compare_bbar.png"),
)

png

Check the the volumetric strain at the specified circle against reference results.

expected_eps_v_bbar_true = np.array([-0.01490984255021392 , -0.013987665076443945, -0.013291145162162097, -0.012657186344186994,(click to toggle)
expected_eps_v_bbar_true = np.array([-0.01490984255021392 , -0.013987665076443945, -0.013291145162162097, -0.012657186344186994,
 -0.012077562490951627, -0.011593306527156625, -0.011176316797253946, -0.01092569848731069 ,
 -0.01091895899307576 , -0.010714526271895689, -0.01114387725791524 , -0.011504380671698598,
 -0.012092934118127245, -0.012863844099957972, -0.013891307884180757, -0.014824422439206673,
 -0.015842888407653168, -0.01698930615310603 , -0.01820004415291281 , -0.019311361785447873,
 -0.02037186498737685 , -0.021381900264295425, -0.02267022167453655 , -0.023700791466756962,
 -0.024651973931523918, -0.025834316049296095, -0.02665397856513444 , -0.02733189018996455 ,
 -0.02770781423765582 , -0.028345819993573197, -0.028607888986588764, -0.028921395881402683,
 -0.028527748160527878, -0.028321403010593223, -0.02785847219788058 , -0.02744136638137052 ,
 -0.026451557317533896, -0.025586383474529427, -0.024539938245160493, -0.023466049965989697,
 -0.022417380454526133, -0.02129466806681034 , -0.020118766322555316, -0.018890229381819928,
 -0.017632516373885486, -0.01646493848269331 , -0.015464670523898097, -0.014562092590426413,
 -0.013752144407338369, -0.013096148271584786, -0.012564590391080288, -0.012185082706746724,
 -0.01199447428001041 , -0.011893699392594523, -0.012263204688720017, -0.01261592084988576 ,
 -0.013186641784431212, -0.013856951863050332, -0.014948316001225192, -0.01588134762422188 ,
 -0.0168738751033352  , -0.017887279415493056, -0.01882953072448892 , -0.0197989418783354  ,
 -0.020800230539342886, -0.021787442243462178, -0.022928602250839102, -0.02382648570600328 ,
 -0.02473887039251807 , -0.02554854198958239 , -0.026241011041587634, -0.026767411360017812,
 -0.027160336582612497, -0.02742609130243981 , -0.027461460888973104, -0.027588143281204316,
 -0.02706688976921454 , -0.026720468413761987, -0.02598620743929075 , -0.02534338104812332 ,
 -0.023780857548122827, -0.022808214680706176, -0.021565074282019227, -0.02028192599371304 ,
 -0.019043182295690863, -0.017844613487726778, -0.01677439282883159 , -0.01579129577134375 ])  # fmt: skip

eps_v_bbar = sorted_angles_eps_trace("hm_lie_bbar_true.pvd")[1]
np.testing.assert_allclose(
    actual=eps_v_bbar, desired=expected_eps_v_bbar_true, atol=1e-10
)

This article was written by Wenqing Wang, Florian Zill, and Mostafa Mollaali. If you are missing something or you find an error please let us know.
Generated with Hugo 0.147.9 in CI job 683680 | Last revision: December 13, 2024