Pressure boundary conditions

Problem description

Five different benchmarks are reported in which pressure boundary conditions are tested: an axisymmetric elastic cylinder, a plain strain elastic cylinder, an axisymmetric elastic sphere, a tri-dimensional elastic sphere and an axisymmetric elasto-plastic sphere. See this PDF for detailed problem description.

Results and evaluation

Plain strain elastic cylinder comparison between numerical and analytical results:

Axisymmetric elastic cylinder comparison between numerical and analytical results.

Axisymmetric elastic sphere comparison between numerical and analytical results:

Tri-dimensional elastic sphere comparison between numerical and analytical results:

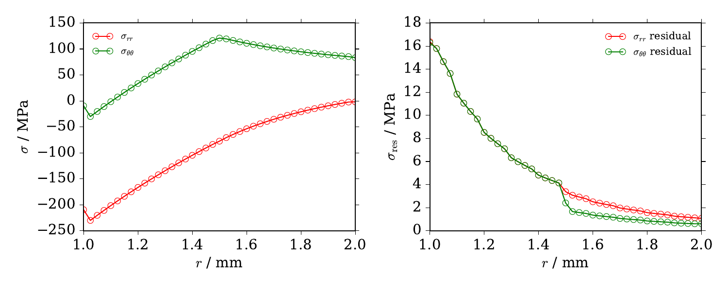
Axisymmetric plastic sphere comparison between numerical and analytical results:

Axisymmetric plastic sphere residuals of stress:


This article was written by Francesco Parisio. If you are missing something or you find an error please let us know.
Generated with Hugo 0.147.9 in CI job 683680 | Last revision: December 20, 2025
Commit: chore: fix spelling mistakes fbc5f730  | Edit this page on