OpenGeoSys
Releases Docs Publications Discourse Source Code
OpenGeoSys
Releases Docs Publications Discourse Source Code
User Guide
Developer Guide
Tutorials
Benchmarks
Tools & Workflows
Feature Matrix
Process information
DigBen & EURAD Model Hub

  • HEAT TRANSPORT BHE
  • HEATCONDUCTION
  • HYDRO MECHANICS
  • HYDRO-COMPONENT
  • HYDRO-THERMAL
  • LARGE DEFORMATIONS
  • LIQUID FLOW
  • PHASE-FIELD
  • A 2D GREAT cell benchmark suite simulated using hydro-mechanical variational phase-field process
  • A 2D GREAT cell benchmark suite simulated using hydro-mechanical variational phase-field process
  • Hydraulic Fracturing in the Toughness-Dominated Regime
  • Pre-notched shear test
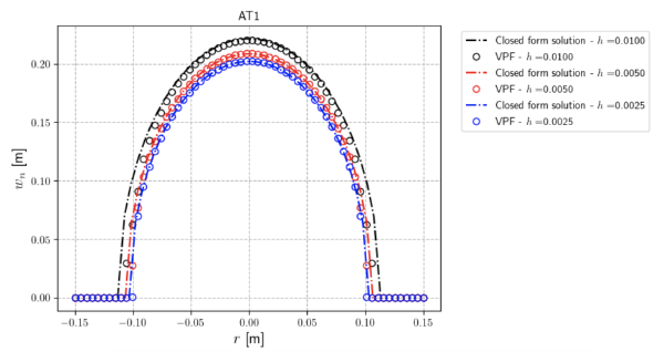
  • Static fracture opening under a constant pressure – Sneddon solution
  • Beam
  • Three point bending test
  • Surfing boundary
  • Fluid driven percolation
  • Three point bending test on anisotropic rock
  • PYTHON BOUNDARY CONDITIONS
  • REACTIVE TRANSPORT
  • RICHARDS FLOW
  • RICHARDS MECHANICS
  • SMALL DEFORMATIONS
  • STEADY STATE DIFFUSION
  • TH2M
  • THERMAL-TWO-PHASE FLOW
  • THERMO-HYDRO-MECHANICS
  • THERMO-MECHANICS
  • THERMO-RICHARDS-MECHANICS
  • TWO-PHASE FLOW

  1. Docs
  2. Processes
  3. Phase-Field

Phase-Field

  • A 2D GREAT cell benchmark suite simulated using hydro-mechanical variational phase-field process

  • A 2D GREAT cell benchmark suite simulated using hydro-mechanical variational phase-field process

  • Beam

  • Hydraulic Fracturing in the Toughness-Dominated Regime

  • Pre-notched shear test

  • Static fracture opening under a constant pressure – Sneddon solution

  • Three point bending test

  • Surfing boundary

  • Fluid driven percolation

  • Three point bending test on anisotropic rock

© 2026 OpenGeoSys Community, Privacy policy / Legal statements / Impressum

Creative Commons License

Search