OpenGeoSys
Releases Docs Publications Discourse Source Code
OpenGeoSys
Releases Docs User Guide Developer Guide Tutorials Benchmarks Tools & Workflows Feature Matrix Process information DigBen & EURAD Model Hub Publications Discourse Source Code
User Guide
Developer Guide
Tutorials
Benchmarks
Tools & Workflows
Feature Matrix
Process information
DigBen & EURAD Model Hub

  • HEAT TRANSPORT BHE
  • HEATCONDUCTION
  • HYDRO MECHANICS
  • HYDRO-COMPONENT
  • HYDRO-THERMAL
  • LARGE DEFORMATIONS
  • LIQUID FLOW
  • PHASE-FIELD
  • PYTHON BOUNDARY CONDITIONS
  • REACTIVE TRANSPORT
  • Reactive transport and retention in stochastically generated DFNs: A PorePy–OpenGeoSys Workflow
  • OGS-PHREEQC-Benchmark: CO2 injection into Opalinus Clay
  • Decay-chain problem
  • Radionuclides migration in Opalinus clay
  • Complex kinetic reaction network
  • Precipitation/dissolution equilibrium reactions in a saturated column
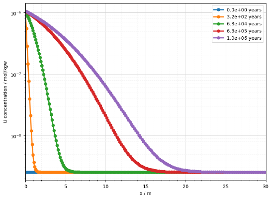
  • Sorption of U(VI) in porous media
  • Tracer diffusion in a thermal gradient
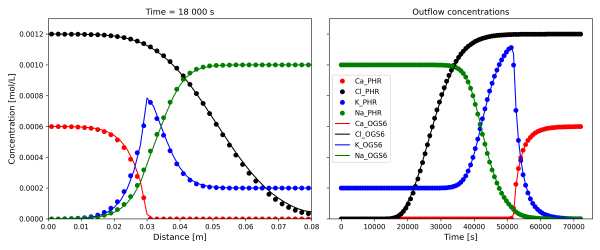
  • Transport and Cation Exchange
  • Solute transport including kinetic reaction
  • RICHARDS FLOW
  • RICHARDS MECHANICS
  • SMALL DEFORMATIONS
  • STEADY STATE DIFFUSION
  • TH2M
  • THERMAL-TWO-PHASE FLOW
  • THERMO-HYDRO-MECHANICS
  • THERMO-MECHANICS
  • THERMO-RICHARDS-MECHANICS
  • TWO-PHASE FLOW

  1. Docs
  2. Processes
  3. Reactive Transport

Reactive Transport

  • Reactive transport and retention in stochastically generated DFNs: A PorePy–OpenGeoSys Workflow

  • OGS-PHREEQC-Benchmark: CO2 injection into Opalinus Clay

  • Decay-chain problem

  • Radionuclides migration in Opalinus clay

  • Complex kinetic reaction network

  • Precipitation/dissolution equilibrium reactions in a saturated column

  • Sorption of U(VI) in porous media

  • Tracer diffusion in a thermal gradient

  • Transport and Cation Exchange

  • Solute transport including kinetic reaction

© 2025 OpenGeoSys Community, Privacy policy / Legal statements / Impressum

Creative Commons License Deploys by Netlify

Search