Linear, single fracture

Equations

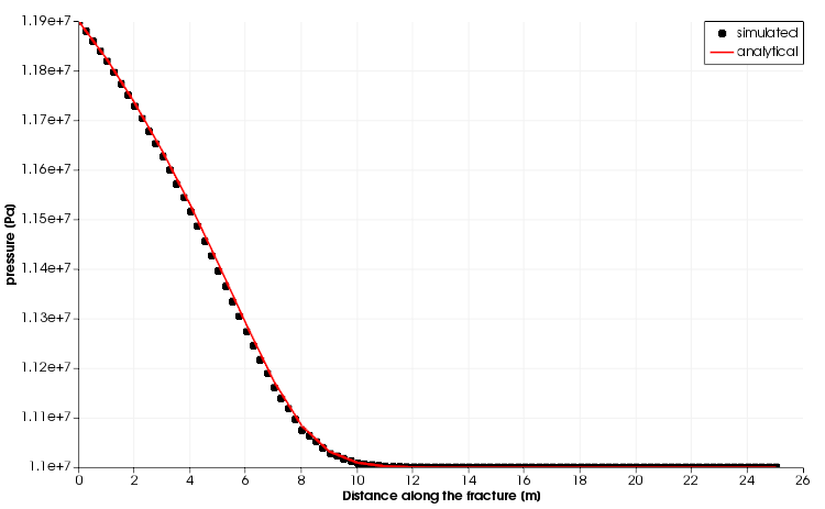
We solve a hydromechanics problem (small deformation, linear elastic, Darcy flow) with a pre-existing fracture using the lower-dimensional interface element (LIE) approach.

See this PDF for detailed problem description.

Results and evaluation

Result showing pore pressure increase due to the injection and subsequent fracture aperture increases at t=500s. A small discrepancy of the aperture near the injection is due to the interpolation method for converting cell data to point data in ParaView.

3D setup

Same setup as for the given 2D case above with additional plane strain conditions in the front and back x-y planes. Warp of the 1000-times oversized displacement and the fracture’s aperture are shown in the following figure.

Comparison with 2D setup yields identical results (up to numerical differences in order of 1e-15): TODO: Image missing!


This article was written by Norihiro Watanabe. If you are missing something or you find an error please let us know.
Generated with Hugo 0.147.9 in CI job 683680 | Last revision: December 20, 2025
Commit: chore: fix spelling mistakes fbc5f730  | Edit this page on