Tracer diffusion in a thermal gradient

This page is based on a Jupyter notebook.

Overview

The diffusion of a non-reactive tracer in Opalinus Clay subject to a non-constant temperature field is evaluated with OGS-6. The temperature dependency over the diffusion process is captured in a two-step model strategy. First, the temperature field is obtained by simulating the heating of the domain for a period of one year. It is assumed that a quasi-stable temperature field is attained during this period. Second, the temperature-dependent diffusion coefficients are calculated with the temperature field of step one. With this, a new model is set up to obtain the concentration profile of a non-reactive tracer over the same domain and period of time. Note that, in this case, isotropic diffusion is assumed in this example.

Numerical approach and model setup

The benchmark follows the HT process in a first model to generate a temperature field (TemperatureField.prj). A 8 x 4 m 2D domain is selected with finer elements on the left side (borehole) for which a Dirichlet boundary condition is applied with a temperature of 353.15 K on the upper half (2 m). The initial temperature of the porous media is 289.15 K (see Figure 1) and all the other boundaries are defined as Neumann (no-flux). Opalinus Clay is selected as porous media and full saturation and instantaneous thermal equilibrium with its porewater is assumed. Properties of the Opalinus clay used in the first-step model are shown in Table 1.

In a second step, a non-reactive tracer is diffused through the domain with a initial concentration of $1 * 10^{-8}$ mol/L over 1 m located at the left boundary (see Figure 1). For the second-step model, the Component Transport process in OGS-6 is used.

Table 1: Parameters of the porous media (Opalinus Clay).

Parameter Description Value Unit
$\phi$ Porosity 0.15 -
$\rho_{\text {clay }}$ Dry bulk density 2720 $\mathrm{~kg} \mathrm{~m}^{-3}$
$c_{p\_clay}$ Specific heat capacity 800 $\mathrm{~J} \mathrm{~kg}^{-1} \mathrm{~K}^{-1}$
$k_{\text {clay }}$ Thermal conductivity 0.955 $\mathrm{~W} \mathrm{~m}{ }^{-1} \mathrm{~K}^{-1}$

The $0 \leq x \leq 8$ and $0 \leq y \leq 4$ triangle mesh with finer elements close to the borehole lateral (left-boundary) is used to i) avoid numerical errors and ii) to gain favorable computational performance. An implicit Euler scheme is used for the time discretization with a time horizon of 1 y and fixed time steps of 1 d.

Domain Mesh
Figure 1: Representation of the model setup.

The pore diffusion coefficients (D) used in the model are scalar functions of the temperature in each element. Arrhenius equation is used as relationship between the effective diffusion coefficient and the temperature [1]:

\begin{equation} D\left(T_2\right)=D\left(T_1\right) \exp \left[\frac{E_a}{R}\left(\frac{1}{T_1}-\frac{1}{T_2}\right)\right] \end{equation}

where $E_a$ = $17000$ J/mol is the activation energy corresponding to bulk water [2] and R is the universal gas constant and equal to $8.314$ J/(K mol). A value of $D$($298.15$ K) = $2 * 10^{-11}$ $m^2 s^{-1}$ is used for the calculations.

The nodal temperature output is used to compute element-wise diffusion coefficients for the domain. This is implemented in ParaView by using a ‘Python calculator’ filter where the Arrhenius equation is used as a scalar function of temperature. Afterwards, an additional ‘Point data to cell data’ ParaView filter is used to carry out the element-wise interpolation of the diffusion coefficients. The newly generated mesh is then used in the TemperatureField_transport.prj model as input for the temperature-dependent molecular diffusion parameters.

import os(click to toggle)
import os
from pathlib import Path

import matplotlib.pyplot as plt
import ogstools as ot
from ogstools.meshlib import MeshSeries
# creating output path if it doesn't exist already.(click to toggle)
# creating output path if it doesn't exist already.

out_dir = Path(os.environ.get("OGS_TESTRUNNER_OUT_DIR", "_out"))
out_dir.mkdir(parents=True, exist_ok=True)
# Initiate the OGS(click to toggle)
# Initiate the OGS

model_temp = ot.Project(
    input_file="TemperatureField.prj", output_file="TemperatureField.prj"
)
model_temp.run_model(logfile=Path(out_dir) / "log.txt")
Project file written to output.
Simulation: TemperatureField.prj
Status: finished successfully.
Execution took 14.325001001358032 s
model_conc = ot.Project((click to toggle)
model_conc = ot.Project(
    input_file="TemperatureField_transport.prj",
    output_file="TemperatureField_transport.prj",
)
model_conc.run_model(logfile=Path(out_dir) / "log2.txt")
Project file written to output.
Simulation: TemperatureField_transport.prj
Status: finished successfully.
Execution took 15.222800970077515 s

Result

Figure 2 shows both, the temperature field (top) and the concentration profile in the Opalinus-Clay porewater (bottom) computed after 1 year. The results clearly shown that the diffusion of the tracer is confined into the “Borehole-Clay interface”. The tracer penetrates at $\approx 0.2$ $m$ in the $x$ direction when measured in the center of the diffusion range boundary. Recall that isotropic diffusion is assumed in this example.

mesh = MeshSeries("TemperatureField.pvd").mesh(5)
mesh2 = MeshSeries("TemperatureField_transport.pvd").mesh(5)
fig, (ax1, ax2) = plt.subplots(2, 1, figsize=(10, 10))(click to toggle)
fig, (ax1, ax2) = plt.subplots(2, 1, figsize=(10, 10))

mesh.plot_contourf("T", fig=fig, ax=ax1, fontsize=15)
ax1.set_ylabel("Borehole heated lateral / m")
cbar1 = fig.axes[-1]
cbar1.set_ylabel("Temperature / K", fontsize=15)

mesh2.plot_contourf("Cs", fig=fig, ax=ax2, fontsize=15, vmin=0)
ax2.set_ylabel("Tracer diffusion boundary / m", fontsize=15)
cbar2 = fig.axes[-1]
cbar2.set_ylabel(r"Tracer concentration / $mol/m^3$", fontsize=15)

fig.suptitle(
    "Figure 2: Temperature (top) and tracer concentration (bottom) profiles at 1 y."
)
plt.tight_layout()
plt.show()

png

sample_temp = mesh.sample_over_line([0, 1.75, 0], [0.5, 4, 0])(click to toggle)
sample_temp = mesh.sample_over_line([0, 1.75, 0], [0.5, 4, 0])
sample_conc = mesh2.sample_over_line([0, 1.75, 0], [0.5, 3.25, 0])

fig2, ax1 = plt.subplots(figsize=(10, 6))

# First line in blue
ot.plot.line(sample_temp, "T", ax=ax1, color="blue", linewidth=0.5, fontsize=15)
ax1.set_ylabel("Temperature / K", color="blue")
ax1.tick_params(axis="y", labelcolor="blue")

# Second line in red
ax2 = ax1.twinx()
ot.plot.line(sample_conc, "Cs", ax=ax2, color="red", linewidth=0.5, fontsize=15)
ax2.set_ylabel(r"Tracer concentration / $mol/m^3$", color="red")
ax2.tick_params(axis="y", labelcolor="red")

ax2.grid(False, which="both")

plt.tight_layout()
plt.show()

png

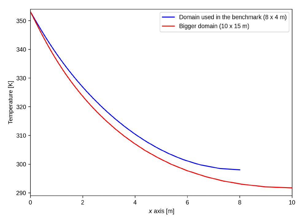
Domain size sensitivity analysis

A sufficient domain size was used in this exercise to neglect the effect of the no-flux boundary conditions on the temperature profile. However, the top, bottom and right boundaries do have a small effect on the computed temperature profile (i.e., temperature at the right boundary is different than the initial temperature). Nonetheless, the size of the domain in this benchmark was selected due to its favorable computational properties.

For comparison purposes, Figure 3 shows the temperature profiles (along a line in the center of the diffusion boundary) for the 8 x 4 m domain used in this description and a bigger domain size (10 x 15 m), which is of sufficient dimensions to neglect the Neumann boundaries on the temperature profile. Using the bigger domain size results in a computational time more than 5 times greater than the current benchmark. In Figure 3, however, note that the temperature difference between the two 3 cases is minimal at the diffusion zone of the tracer (0 - 0.2 m).

Different domain
Figure 3: Temperature profiles for different domain sizes at the center of the diffusion boundary.

Reference

[1] LR Van Loon, W Müller, and K Iijima. Activation energies of the self-diffusion of hto, 22na+ and 36cl- in a highly compacted argillaceous rock (opalinus clay). Applied Geochemistry, 20(5):961– 972, 2005.

[2] Fátima González Sánchez, Luc R Van Loon, Thomas Gimmi, Andreas Jakob, Martin A Glaus, and Larryn W Diamond. Self-diffusion of water and its dependence on temperature and ionic strength in highly compacted montmorillonite, illite and kaolinite. Applied Geochemistry, 23(12):3840– 3851, 2008.


This article was written by Jaime Garibay-Rodriguez, Renchao Lu, Vanessa Montoya, Noor Hasan. If you are missing something or you find an error please let us know.
Generated with Hugo 0.147.9 in CI job 683680 | Last revision: July 8, 2019