This benchmark simulates the chemical composition of the effluent from a column containing a cation exchanger (Example 11 in the PHREEQC 3 documentation). The following setup is used for the simulation:

Full details of the model setup and parameters are given in the PHREEQC3 example (consulted MAY-2021):
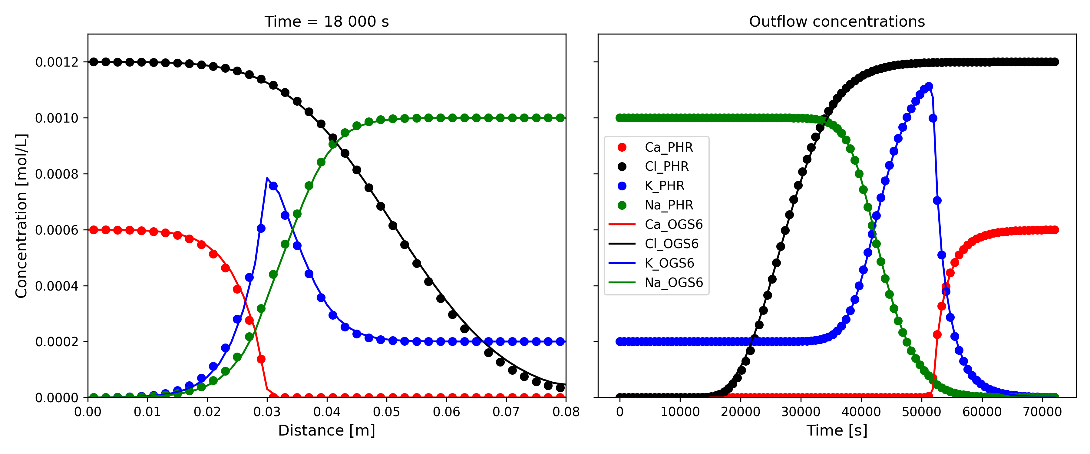
The benchmark uses the ComponentTransport process in OGS-6 coupled with the IPhreeqc software (Parkhurst et al. 2013). The results show good agreement between codes. More details about the implementation of the ComponentTransport process in OGS-6 can be found in HC-Process.pdf.

Parkhurst, D.L., Appelo, C.A.J., 2013. Description of Input and Examples for PHREEQC Version 3 - a Computer Program for Speciation, Batch-reaction, One-dimensional Transport, and Inverse Geochemical Calculations.
This article was written by Jaime Garibay-Rodriguez, Renchao Lu, Vanessa Montoya. If you are missing something or you find an error please let us know.
Generated with Hugo 0.147.9
in CI job 683680
|
Last revision: December 20, 2025
Commit: chore: fix spelling mistakes fbc5f730
| Edit this page on