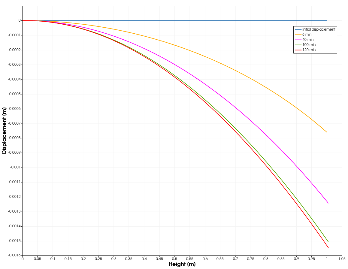
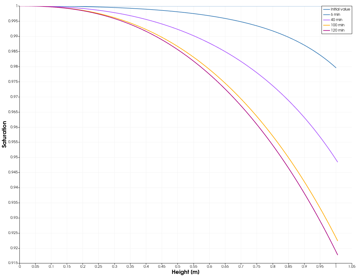
A test based on the Liakopoulos experiment

This benchmark simulates the Liakopoulos experiment [1] with an assumption of the Richards’ flow coupled with deformation.

  • Saturation profile:
  • Vertical displacement profile:

References

[1] Liakopoulos, Aristides C (1965). Variation of the permeability tensor ellipsoid in homogeneous anisotropic soils. Water Resources Research, 1(1), 135–141.


This article was written by Wenqing Wang. If you are missing something or you find an error please let us know.
Generated with Hugo 0.147.9 in CI job 639840 | Last revision: September 27, 2025
Commit: [cmake] Remove linker warnings when building mpmetis. 852270d  | Edit this page on