A test based on CTF1 experiment for water vapour diffusion model for non-isothermal Richards flow

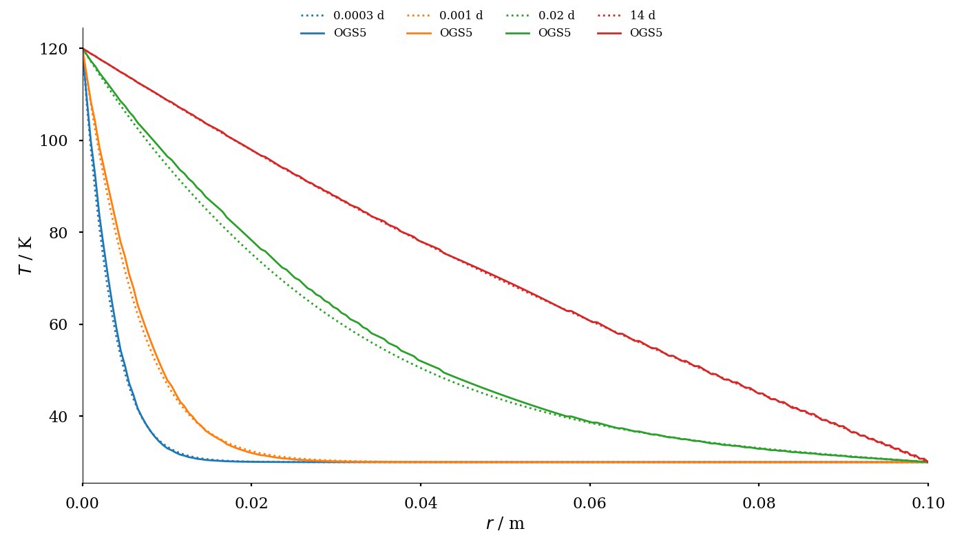
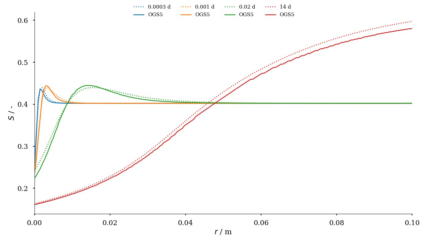
This test simulates the coupled thermal hydraulic processes in In the CTF1 experiment carried out by Villar et al. [1].

The description of this test can be found in the paper by Wang et al. [2]. In the calculation, the formula of specific heat capacity of solid phase has already taken account of the porosity factor.

The following figures compare the results of this test against the results presented in [2]:

drawing drawing

References

[1] Villar MV, Fernandez AM, Cuevas J (1997) Caracterizacio ́n Geoquı ́mica de bentonita compactada: efectos producidos por flujo termohidra ́ulico. Interim Report FEBEX, Informe 70-IMA- M-0-2, CIEMAT, Madrid

[2] Wang, W., Rutqvist, J., Görke, U., Birkholzer, J., Kolditz, O. (2011) Non-isothermal flow in low permeable porous media: a comparison of Richards’ and two-phase flow approaches. Environ Earth Sci 62, 1197–1207. DOI: 10.1007/s12665-010-0608-1


This article was written by Wenqing Wang and Chaudhry Aqeel Afzal. If you are missing something or you find an error please let us know.
Generated with Hugo 0.147.9 in CI job 639840 | Last revision: September 27, 2025
Commit: [cmake] Remove linker warnings when building mpmetis. 852270d  | Edit this page on