Thermoelastic Stress

Problem description

We solve a thermo-mechanical homogeneous model in cube domain. The dimensions of this cube model are 1 m in all directions. The boundary conditions and temperature loadings, as well as the material can refer Chapter 14 in Kolditz et al. \cite Kolditz2012 for detailed problem description.

Results and evaluation

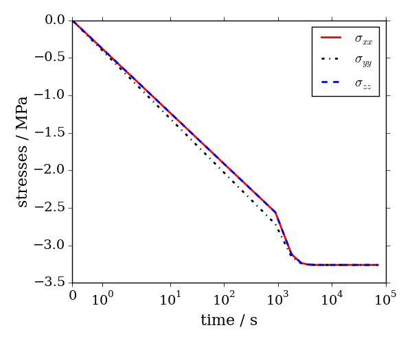
Result showing temperature and stresses development with time in the centre node of the model:

The analytical solution of stresses after heating is:

$$\begin{equation} \sigma_{xx} = \sigma_{yy} = \sigma_{zz} = - \frac{\alpha \Delta T E}{1 - 2 \nu} = - 3.260869\, \textrm{MPa} \end{equation}$$

The relative error between the numerical simulation and the analytical solution is 9.2⋅10-13.

References

Kolditz, O. and Bauer, S. and Bilke, L. and Böttcher, N. and Delfs, J. and Fischer, T. and Görke, U. and Kalbacher, T. and Kosakowski, G. and McDermott, C. and Park, C. and Radu, F. and Rink, K. and Shao, H. and Shao, H. and Sun, F. and Sun, Y. and Singh, A. and Taron, J. and Walther, M. and Wang, W. and Watanabe, N. and Wu, Y. and Xie, M. and Xu, W. and Zehner, B. (2012): OpenGeoSys: an open-source initiative for numerical simulation of thermo-hydro-mechanical/chemical (THM/C) processes in porous media. Environmental Earth Sciences, vol. 67, p. 589-599, DOI:10.1007/s12665-012-1546-x

This article was written by Xing-Yuan Miao. If you are missing something or you find an error please let us know.
Generated with Hugo 0.147.9 in CI job 639840 | Last revision: September 27, 2025
Commit: [cmake] Remove linker warnings when building mpmetis. 852270d  | Edit this page on