H process: Theis solution (Pumping well)

This page is based on a Jupyter notebook.

import os(click to toggle)
import os
from pathlib import Path

import matplotlib.pyplot as plt
import numpy as np
import ogstools as ot
from scipy.special import exp1

H process: Theis solution

Problem description

Theis’ problem examines the transient lowering of the water table induced by a pumping well. The assumptions required by the Theis solution are:

The aquifer:

  • is homogeneous, isotropic, confined, infinite in radial extent,
  • has uniform thickness, horizontal piezometric surface.

The well:

  • is fully penetrating the entire aquifer thickness,
  • has a constant pumping rate,
  • well storage effects can be neglected,
  • no other wells or long term changes in regional water levels.

Analytical solution

The analytical solution of the drawdown as a function of time and distance is expressed by:

$$ s(r,t) = h_0 - h(r,t) = \frac{Q}{4\pi T}W(u), \quad \mathrm{where}\quad u = \frac{r^2S}{4Tt}. $$

where

  • $s$ [$L$] is the drawdown or change in hydraulic head,
  • $h_0$ is the constant initial hydraulic head,
  • $h$ is the hydrauic head at distance $r$ at time $t$
  • $Q$ [$L^3T^{-1}$] is the constant pumping (discharge) rate
  • $S$ [$-$] is the aquifer storage coefficient (volume of water released per unit decrease in $h$ per unit area)
  • $T$ [$L^2T^{-1}$] is the transmissivity (a measure of how much water is transported horizontally per unit time).

The Well Function, $W(u)$ is the exponential integral, $E_1(u).$ $W(u)$ is defined by an infinite series:

$$ W(u) = - \gamma - \ln u + \sum_{k=1}^\infty \frac{(-1)^{k+1} u^k}{k \cdot k!} $$

where $\gamma=0.577215664$ is the Euler-Mascheroni constant

For practical applications an approximation to the exponential integral is used often:

$$W(u) \approx -\gamma - \ln u$$

This results in an expression for $s(r,t)$ known as the Jacob equation:

$$ s(r,t) = -\frac{Q}{4\pi T}\left(\gamma + \ln u \right). $$

For more details we refer to Srivastava and Guzman-Guzman (1998).

The following analytical solution is inspired by linear and non linear fitting of the theis equation .

def calc_u(r, S, T, t):(click to toggle)
def calc_u(r, S, T, t):
    """Calculate and return the dimensionless time parameter, u."""
    return r**2 * S / 4 / T / t


def theis_drawdown(t, S, T, Q, r):
    """Calculate and return the drawdown s(r,t) for parameters S, T.

    This version uses the Theis equation, s(r,t) = Q * W(u) / (4.pi.T),
    where W(u) is the Well function for u = Sr^2 / (4Tt).
    S is the aquifer storage coefficient,
    T is the transmissivity (m2/day),
    r is the distance from the well (m), and
    Q is the pumping rate (m3/day).
    """
    u = calc_u(r, S, T, t)
    return Q / 4 / np.pi / T * exp1(u)

Analytical solution setup

Here, we choose some representative parameter values to evaluate the Theis analytical solution.

We set the pumping rate to $Q=2000\, \mathrm{m^3/day}$ and consider a point located at a distance of $r=10\,\mathrm{m}$ from the well. The time grid spans from 1 to 100 days.

For the aquifer properties, we use a storage coefficient of $S=3 \times 10^{-4}$ and a transmissivity of $T=1000\, \mathrm{m^{2}/day}$

Using these values, we compute the analytical drawdown $s(r,t)$ with the theis_drawdown() function.

Q = 2000 # Pumping rate from well (m3/day)(click to toggle)
Q = 2000  # Pumping rate from well (m3/day)
r = 10  # Distance from well (m)

# Time grid, days.
t = np.array([1, 2, 4, 8, 12, 16, 20, 30, 40, 50, 60, 70, 80, 90, 100])

# Calculate some synthetic data to fit.
S, T = 0.0003, 1000
s = theis_drawdown(t, S, T, Q, r)

# Plot the data
fig, ax = plt.subplots(figsize=(16, 10))

ax.plot(t, s, label=f"r = {r} m")
ax.set(
    xlim=(0, 100),
    ylim=(1.6, 2.6),
    title="Theis: Analytical solution",
    xlabel=r"$t\;/\;\mathrm{days}$",
    ylabel=r"$s\;/\;\mathrm{m}$",
)
ax.legend()
ax.grid()
ot.plot.utils.update_font_sizes(ax)

png

In this step, we recalculate the drawdown using SI units for consistency with numerical simulations.

The pumping rate is converted to $Q=0.016\,\mathrm{m^{3}/s}$ and the time is set to $t=864000\,\mathrm{s}$ (equivalent to 10 days).

We evaluate the drawdown over radial distances ranging from $r=1\,\mathrm{m}$ to $40\,\mathrm{m}$.

# Recalculation from days in sec(click to toggle)
# Recalculation from days in sec
Q = 0.016  # Pumping rate from well (m3/s)
t = 864000  # Time in s.

# Distance from well (m)
r = np.arange(1, 41, 1)

# Calculate some synthetic data to fit.
S = 0.001
T = 9.2903e-4
u = calc_u(r, S, T, t)
s = theis_drawdown(t, S, T, Q, r)
s = s - 5  # reference head

# Plot the data
fig, ax = plt.subplots(figsize=(16, 10))
ax.plot(r, s, label=f"t = {t} days")
ax.set(
    xlim=(1, 40),
    title="Theis: Analytical solution",
    xlabel=r"$r\;/\mathrm{m}$",
    ylabel=r"$hydraulic head\;/\;\mathrm{m}$",
)
ax.legend()
ax.grid()
ot.plot.utils.update_font_sizes(ax)

png

Numerical solution

mesh = ot.MeshSeries("axisym_theis.vtu")
fig = ot.plot.contourf(mesh, "OGS5_pressure")(click to toggle)
fig = ot.plot.contourf(mesh, "OGS5_pressure")
fig.get_axes()[0].set_title("Initial pressure")
ot.plot.utils.update_font_sizes(fig.get_axes())

png

Running OGS

out_dir = Path(os.environ.get("OGS_TESTRUNNER_OUT_DIR", "_out"))(click to toggle)
out_dir = Path(os.environ.get("OGS_TESTRUNNER_OUT_DIR", "_out"))
out_dir.mkdir(parents=True, exist_ok=True)

model = ot.Project(input_file="axisym_theis.prj", output_file="axisym_theis.prj")
model.run_model(logfile=out_dir / "out.log", args=f"-o {out_dir}")
Project file written to output.
Simulation: axisym_theis.prj
Status: finished successfully.
Execution took 0.34055352210998535 s

Spatial Profiles

ms = ot.MeshSeries(f"{out_dir}/liquid_pcs.pvd")
%%capture --no-display(click to toggle)
%%capture --no-display

xaxis = np.column_stack((np.linspace(1.0, 40, 40), np.zeros((40, 2))))
pressure = ot.variables.pressure.replace(
    data_unit="m", output_unit="m", output_name="hydraulic head", symbol=""
)

ms_probe = ot.MeshSeries.extract_probe(ms, xaxis)
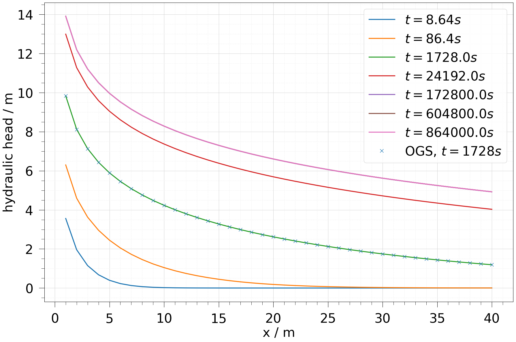
labels = [f"$t={np.round(x, 2)}s$" for x in ms_probe[1:].timevalues](click to toggle)
labels = [f"$t={np.round(x, 2)}s$" for x in ms_probe[1:].timevalues]
fig, ax = plt.subplots(figsize=(18, 12))

ot.plot.line(ms_probe[1:], "x", pressure, labels=labels, ax=ax)
ot.plot.line(
    ms_probe[ms_probe.closest_timestep(1728)],
    "x",
    "OGS5_pressure",
    marker="x",
    markersize=8,
    linestyle="",
    label="OGS, $t=1728 s$",
    ax=ax,
)
fig.tight_layout()

png

Comparing Numerical and Analytical Solutions

In this section, we compare the computed OGS solutions with the analytical solution we computed earlier.

time = 864000(click to toggle)
time = 864000
timestep = ms_probe.closest_timestep(time)

ana_sol = np.zeros_like(ms_probe.point_data[pressure])
ana_sol[timestep] = s

mask = np.nonzero(ana_sol)
abs_error = np.zeros_like(ms_probe.point_data[pressure])
abs_error[mask] = np.abs(ana_sol[mask] - ms_probe.point_data[pressure][mask])

rel_error = np.zeros_like(ms_probe.point_data[pressure])
rel_error[mask] = np.abs(abs_error[mask] / (ana_sol[mask]))

np.testing.assert_array_less(abs_error, 0.9)
np.testing.assert_array_less(rel_error, 0.07)
ms_probe.point_data[pressure.anasol.data_name] = ana_sol(click to toggle)
ms_probe.point_data[pressure.anasol.data_name] = ana_sol
ms_probe.point_data[pressure.abs_error.data_name] = abs_error
ms_probe.point_data[pressure.rel_error.data_name] = rel_error
fig, ax = plt.subplots(ncols=3, figsize=(40, 12))(click to toggle)
fig, ax = plt.subplots(ncols=3, figsize=(40, 12))

ot.plot.line(
    ms_probe[timestep],
    "x",
    pressure,
    marker="x",
    markersize=8,
    linestyle="",
    label="numerical solution (ogs6)",
    ax=ax[0],
)
ot.plot.line(
    ms_probe[timestep],
    "x",
    pressure.anasol,
    marker="o",
    label="analytical solution",
    ax=ax[0],
    color="C1",
)
ot.plot.line(ms_probe[timestep], "x", pressure.abs_error, marker="x", ax=ax[1])
ot.plot.line(ms_probe[timestep], "x", pressure.rel_error, marker="x", ax=ax[2])

fig.suptitle("Theis: Comparison analytical and numerical solution", fontsize=38)
fig.tight_layout()

png

max_rel_error = (ms_probe[timestep].point_data[pressure.rel_error.data_name]).max()
print(f"Max relative error: {max_rel_error*100:.2f}%")
Max relative error: 6.35%

The max relative error observed is nearly 6.35%. The observed differences between the analytical and numerical results arise from the distinct boundary conditions applied in the two setups.

Overall, the numerical solution closely matches the analytical results.

References

Credits


This article was written by Wenqing Wang, Olaf Kolditz. If you are missing something or you find an error please let us know.
Generated with Hugo 0.147.9 in CI job 683680 | Last revision: August 24, 2022